| Дата публикации | 11:30 14.04.2025 |
ДОНЕЦКАЯ НАРОДНАЯ РЕСПУБЛИКА
ЗАКОН
О ВНЕСЕНИИ ИЗМЕНЕНИЙ В ЗАКОН ДОНЕЦКОЙ НАРОДНОЙ РЕСПУБЛИКИ «О НАДЕЛЕНИИ ОРГАНОВ МЕСТНОГО САМОУПРАВЛЕНИЯ МУНИЦИПАЛЬНЫХ ОБРАЗОВАНИЙ ДОНЕЦКОЙ НАРОДНОЙ РЕСПУБЛИКИ ОТДЕЛЬНЫМИ ГОСУДАРСТВЕННЫМИ ПОЛНОМОЧИЯМИ ДОНЕЦКОЙ НАРОДНОЙ РЕСПУБЛИКИ ПО ОБЕСПЕЧЕНИЮ В ГОСУДАРСТВЕННЫХ ОБРАЗОВАТЕЛЬНЫХ ОРГАНИЗАЦИЯХ, ОСУЩЕСТВЛЯЮЩИХ ОБРАЗОВАТЕЛЬНУЮ ДЕЯТЕЛЬНОСТЬ ПО ОБРАЗОВАТЕЛЬНЫМ ПРОГРАММАМ ДОШКОЛЬНОГО, НАЧАЛЬНОГО ОБЩЕГО, ОСНОВНОГО ОБЩЕГО И СРЕДНЕГО ОБЩЕГО ОБРАЗОВАНИЯ, МЕРОПРИЯТИЙ, ИСТОЧНИКОМ ФИНАНСОВОГО ОБЕСПЕЧЕНИЯ КОТОРЫХ ЯВЛЯЮТСЯ СРЕДСТВА ФЕДЕРАЛЬНОГО БЮДЖЕТА»
Принят Постановлением Народного Совета 14 апреля 2025 года
Статья 1
Внести в Закон Донецкой Народной Республики от 28 октября 2024 года № 120-РЗ «О наделении органов местного самоуправления муниципальных образований Донецкой Народной Республики отдельными государственными полномочиями Донецкой Народной Республики по обеспечению в государственных образовательных организациях, осуществляющих образовательную деятельность по образовательным программам дошкольного, начального общего, основного общего и среднего общего образования, мероприятий, источником финансового обеспечения которых являются средства федерального бюджета» (опубликован
на официальном сайте Главы Донецкой Народной Республики 28 октября
2024 года) следующие изменения:
1) статью 2 дополнить подпунктом 6 следующего содержания:
«6) на реализацию мероприятий по капитальному ремонту и оснащению образовательных организаций, осуществляющих образовательную деятельность по образовательным программам дошкольного образования, в рамках государственной программы Российской Федерации «Развитие образования».»;
2) в приложении:
а) пункт 1 изложить в следующей редакции:
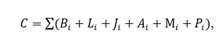
«1. Общий объем субвенций, предоставляемых бюджетам муниципальных образований из бюджета Донецкой Народной Республики на осуществление отдельных государственных полномочий Донецкой Народной Республики по обеспечению в государственных образовательных организациях, осуществляющих образовательную деятельность по образовательным программам дошкольного, начального общего, основного общего и среднего общего образования, мероприятий, источником финансового обеспечения которых являются средства федерального бюджета (далее – отдельные государственные полномочия) (С), определяется по формуле:

где:
i – размер субвенции бюджету i-го муниципального образования
на финансовое обеспечение выплат ежемесячного денежного вознаграждения за классное руководство педагогическим работникам государственных общеобразовательных организаций Донецкой Народной Республики;
– размер субвенции бюджету i-го муниципального образования
на финансовое обеспечение выплаты ежемесячного денежного вознаграждения советникам директоров по воспитанию и взаимодействию с детскими общественными объединениями государственных общеобразовательных организаций Донецкой Народной Республики;
– размер субвенции бюджету i-го муниципального образования
на финансовое обеспечение организации бесплатного горячего питания обучающихся, получающих начальное общее образование в государственных образовательных организациях;
– размер субвенции бюджету i-го муниципального образования
на финансовое обеспечение государственных образовательных организаций, расположенных на территории Донецкой Народной Республики и реализующих основные общеобразовательные программы, вооруженной охраной;
– размер субвенции бюджету i-го муниципального образования
на финансовое обеспечение реализации мероприятий по модернизации школьных систем образования в рамках государственной программы Российской Федерации «Развитие образования»;
– размер субвенции бюджету i-го муниципального образования
на финансовое обеспечение реализации мероприятий по капитальному ремонту и оснащению образовательных организаций, осуществляющих образовательную деятельность по образовательным программам дошкольного образования в рамках государственной программы Российской Федерации «Развитие образования».»;
б) пункт 2 дополнить подпунктом 6 следующего содержания:
«6) количество дошкольных организаций, в которых выполнены мероприятия по капитальному ремонту и оснащению в полном объеме.».
Статья 2
Настоящий Закон вступает в силу со дня его официального опубликования.
Глава
Донецкой Народной Республики Д.В. Пушилин
г. Донецк
14 апреля 2025 года
№ 181-РЗ
